Abstracts

STATE REPRESENTATION USING SUBSPACE PROJECTION OF CA1- CA3 LOCAL FIELD POTENTIALS IN A RAT MODEL OF FOCAL EPILEPSY

Abstract number : 3.105
Submission category : 3. Neurophysiology
Year : 2013
Submission ID : 1751572
Source : www.aesnet.org
Presentation date : 12/7/2013 12:00:00 AM
Published date : Dec 5, 2013, 06:00 AM

Authors :
B. Mahmoudi, S. Arcot Desai, N. Laxpati, R. Gross

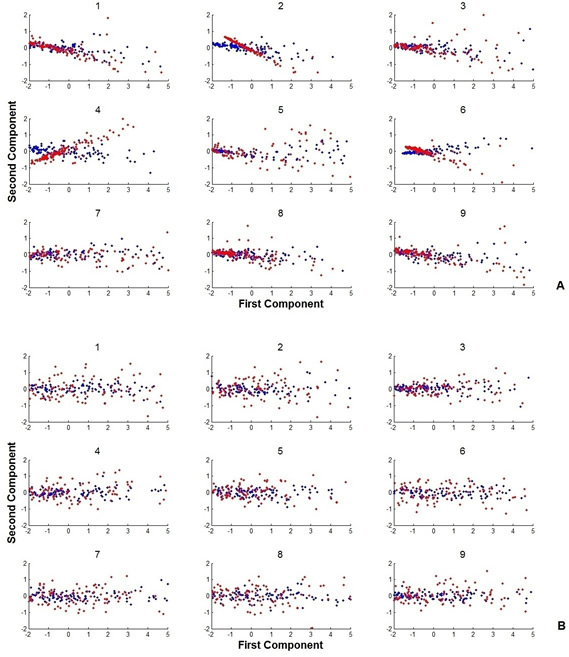
Rationale: Neural state representation is an important step in developing neurophysiological biomarkers and designing closed-loop neuromodulation therapies for epilepsy. Compact spatio-temporal descriptors with low computational complexities are especially desirable in fully implantable closed-loop systems with limited computational resources. We defined a state-space that was spanned by principal components of the power of Local Field Potentials (LFPs) and, using a subspace projection, studied the dynamics of CA1 and CA3 in a rat model of epilepsy.Methods: LFP signals in CA1 and CA3 were recorded simultaneously using microelectrode arrays in epileptic (tetanus toxin model) and control rats. Sprague-Dawley rats were implanted in the dorsal hippocampus using a custom designed 16-electrode array with 8 microwire electrodes in CA1 and 8 in CA3. Power of the signal in non-overlapping 500 ms time bins were computed for each electrode as the feature vector. The CA1 and CA3 feature vectors were buffered in a 1 min time window. The standard deviation of each channel was normalized individually and the resulting data matrix was projected to a 2D subspace that was spanned by the first and second Principal components.Results: Using our spatio-temporal subspace projection algorithm a 4000:1 compression ratio was achieved. Fig 1 compares 9 minutes of continuous LFP recordings in epileptic and control rats. Each subplot corresponds to 1 minute and each dot represents 500 ms block of data. Comparing the CA1 and CA3 state-trajectories in the projection space reveals different patterns between the epileptic and control rats. Unlike in the control rats, the pattern of neural state trajectories in epileptic rats exhibited pseudo-periodic contractions and expansions episodes, especially in CA3. During a seizure (blocks 5 and 6 in Fig 1A) the CA3 contraction pattern propagated to CA1. After the seizure, both CA1 and CA3 showed a pattern that was similar to that in the control rat.Conclusions: We present a simple and effective approach to reduce the dimensionality of continuous multi-channel recordings. Our results demonstrated that using this approach a subspace projection can be defined for compact spatio-temporal representation of hippocampal neural dynamics in epilepsy. In the state-space spanned by CA1 and CA3, epileptic neural activities exhibited dynamic heterogeneous patterns that correlated with behavioral seizures. In contrast, normal neural activities in hippocampus represented a pattern that was more homogeneous. The goal of closed-loop neuromodulation systems for treatment of epilepsy is to constrain the neural state trajectories. The CA1-CA3 subspace projection method may be useful for visualization of neural state trajectories and provide metrics for measuring the distance between the epileptic and normal neural states.
Neurophysiology